Original title: Automotive grade capacitor _ Samsung Automotive grade capacitor
As the name implies, automobile grade capacitor refers to the special grade capacitor matching the automobile specification, which can also be called automobile specification capacitor and AEC-Q200 capacitor. So what kind of capacitor can be called automobile grade capacitor? As we all know, the use of automotive grade capacitors in new energy vehicles must have strict requirements for product performance and stability. First, the temperature requirements, automotive grade capacitors can withstand a wide range of temperatures, up to 150℃; The test temperature can reach 85 degrees Celsius; Compared with ordinary capacitor, the requirements are much higher, and almost all automotive capacitors have high temperature stability. The common automotive capacitors are mainly made of COG, X6S, X7R, X7S, X8L and X8R. Secondly, the automobile grade capacitor should have corrosion resistance, aging resistance and impact resistance, so it must pass the AEC-Q200 certification test conditions, mainly for the purpose of ensuring a long service life and a temperature cycle up to 1000 cycles.
Of course, although the AEC-Q200 in the market has passed the automotive test certification, it is not certain. Whether the product meets the AEC-Q200 test certification conditions can be clearly seen in the specifications of many passive components, but the product has passed the AEC-Q200 automotive test certification. Therefore, there is a certain difference between the two, because the former is basically tested by the manufacturer/factory itself, not by a real testing organization. Therefore, such components as fuses, fuses, etc. If customers are willing to buy uncertified products, they will not be subject to their restrictions. If there are potential safety hazards, the buyers can only bear them themselves. Therefore, the regular AEC-Q200 is still extremely important in the automotive front-loading market. Then, according to the specifications of Samsung brand, Old Rules Xiaobian roughly lists the COG material selection specifications of Samsung automotive capacitors as follows.
Introduction of Samsung Automotive Capacitor Products
Recommended registration of automobile products in the most advanced facilities in China ISO/TS 16949: 2002;
Automotive products meet AEC-Q200 requirements;
Automobile products meet RoHS standards;
Automotive products meet jedec-020-d requirements;
C0G dielectric element includes BME and Ni/Sn-Cu terminal gold-plated electrode;
X7R dielectric component BME and nickel/tin plating soft terminal electrode;
Size 0603/0805/1206 is suitable for reflow soldering and reflow soldering.
Dimensions 0402 and smaller (< 0402) and 1210 and larger (> 1210) are suitable for reflow soldering;
Characteristics of Samsung Automotive Capacitance
3㎜ Bending strength guarantee (general AEC-Q200 products)
Open fault (open fault mode, w series)
Safe multilayer ceramic capacitor (6 mm bending strength, J series)
Eligibility standard (IEC 61000-4-2 ESD protection, PE series)
The size diagram of Samsung automotive capacitor is as follows
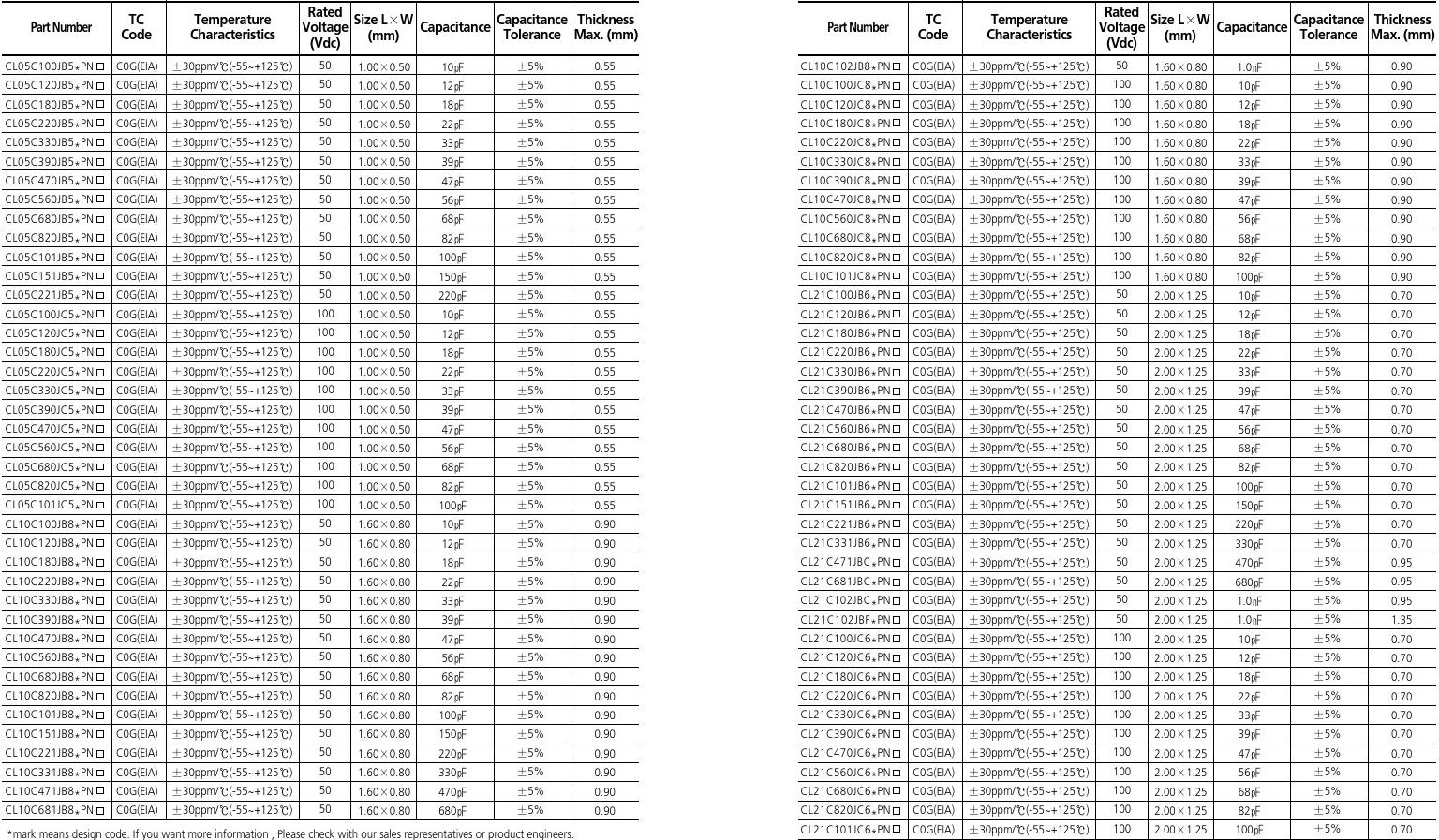
Samsung's automotive capacitor capacity is 10 pf ~ 15000 pf; Type selection charts for sizes 0402, 0603 and 0805 are as follows

Application of Samsung Automotive Capacitor
Samsung automotive grade capacitors are widely used in automotive electronic equipment, powertrain, safety, body and chassis, portable automotive products, vehicle multimedia and so on.
The above contents mainly introduce the product introduction, characteristics, dimension drawings and COG material parameter selection table of Samsung automotive capacitors. If you need other automotive capacitors such as X6S, X7R, X7S, X8L and X8R, please leave a message or call the telephone number: 0755-2810016; Massive stock of fuse, resistor, capacitor and inductor in stock.
Shenzhen Shunhai Technology Co., Ltd. is a professional protection device such as fuses, chip fuses, ELLON resistors, chip resistors, chip inductors, integrated inductors, TVS, ESD, PPTC, GDT, TSS, MOS, LDO, etc. The electrostatic tube agent brands are Huade, Saruiwei, Shuokai, Tianer, Guoju, Housheng, Wangquan, TDK, and so on TAIYO, SUNLROP, TDK, LRC, ITE, SAMSUNG, professional sales teams and massive spot stocks provide customers with better service. Welcome to consult and cooperate.
Labels: Samsung automotive grade capacitor, Samsung automotive gauge capacitor, Samsung AEC-Q200 capacitor, Samsung automotive grade capacitor selection table, Samsung automotive gauge capacitor selection table, Samsung AEC-Q200 capacitor selection table